Kisi-kisi Soal Pas Ipa Kelas 4 Sd K13
Soal USBN IPA Kelas 6 SD ini sebagai acuan dan pembelajaran bagi. Soal Ujian Sekolah US IPA Kelas 6 SD MI K13 Tahun 2021 Ujian Sekolah merupakan kegiatan pengukuran capaian kompetensi peserta didik yang dilakukan Satuan.

Kisi Kisi Soal Bahasa Indonesia Sd Kelas 5 Semester 1 Anselpan Biopropunpar S Ownd
Oleh sebab itu bapakibu guru wajib memberikan latihan soal-soal untuk mengukur.

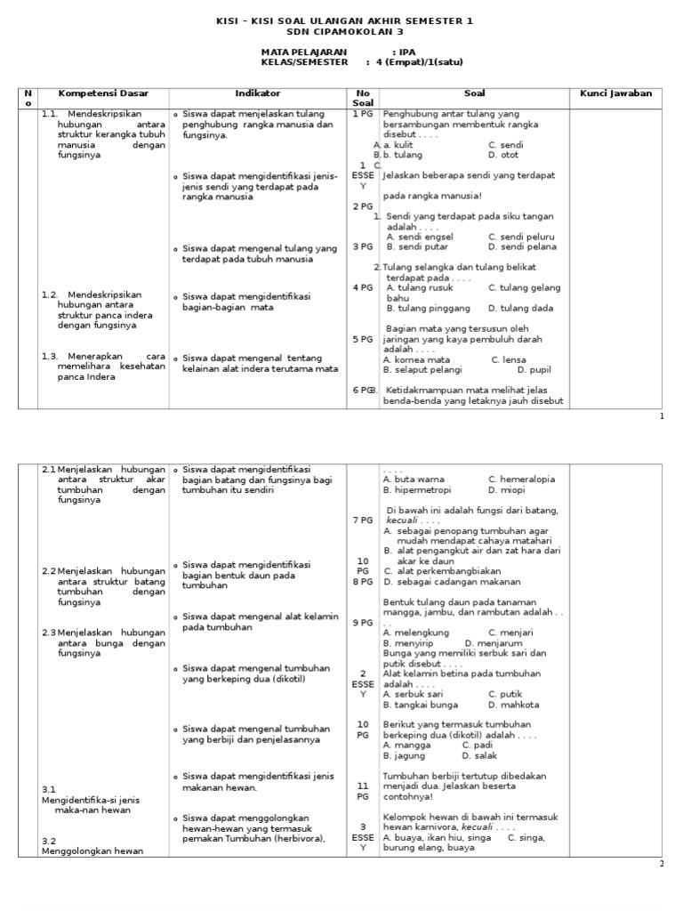
Kisi-kisi soal pas ipa kelas 4 sd k13. Penulisan kisi-kisi soal Matematika k13 Kelas 4 Semester 2 adalah kerangka dasar yang dipergunakan untuk penyusunan soal dalam evaluasi proses pendidikan dan pembelajaran. Kisi-kisi soal kunci jawaban PTS kelas 4 semester 2 K13 ini dibagikan untuk membantu belajar peserta didik kelas SD MI dalam menghadapi pelaksanaan Penilaian Tengah Semester PTS 2. Kisi-kisi Soal PHUH Matematika.
Latihan Soal Ujian Sekolah IPA SD MI Sesuai Kisi Kisi USBN K13 MediaedukasiMyID Soal Ujian Sekolah IPA SD MI Ujian sekolah berstandar nasional USBN merupakan penilaian pembelajaran yang dilakukan pada akhir tahun pembelajaran kelas 6 jenjang SD MI. Jika ada pertanyaan seputar Soal dan Kisi Kisi PTS SD Semester 2 SD Lengkap Kelas 12345 dan. Soal UAS Soal PAS Kelas 4 Semester 1 K13 Revisi 2019 dapat diartikan sebagai alat.
Download soal usbn sd 2019 2020 kunci jawaban. Gudang Kisi Kisi Soal K13 Revisi 2018 Kelas 123456 Lengkap Kisi kisi soal kelas 1 kisi kisi soal kelas 2 kisi kisi soal kelas 3 kisi kisi soal kelas 456. Soal uas agama kristen sd kelas 4 k13.
Homepage Kisi- Kisi SD Gudang Kisi Kisi Soal K13 Revisi 2018 Kelas 123456 Lengkap Gudang Kisi Kisi Soal K13 Revisi 2018 Kelas 123456 Lengkap By Nabila Az-zahra Maheswari Posted on November 14 2018 March 2 2019. Kisi-kisi soal UAS PAS Tematik Kelas 4 Semester 1 yang kami bagikan terdiri dari tema 1 2 3 dan 4 berformat Microsoft Excel. Demikian Soal dan Kisi Kisi PTS SD Semester 2 SD Lengkap yang dapat wwwsinyanurmyid berikat kepada bapakibu guru.
Kisi-Kisi dan Soal PAS IPA SMP kelas 7 8 9 Semester 1 Tahun Ajaran 20202021 Soal PAS IPA SMP Soal tiap tema disusun dalam bentuk pilihan ganda dan soal uraian. Contoh Kisi-kisi Kartu Soal Uraian dan Pilihan Ganda pembuatan soal HOTs K13 Contoh Soal Hots Kelas 4 SDMI Kurikulum 2013 K13 Muatan Pelajaran. Download Kisi Kisi Soal Usbn Sd Tahun 2020 Ipa Matematika Bahasa Indonesia Idn Paperplane Kisi Kisi Soal Ph Uh Pjok Kelas 4 K13 Tahun 2019 N A P A Kumpulan Contoh Soal Contoh Kisi Kisi Soal Uraian Contoh Format.
Khusus yang tinggal di Jakarta ini ada kisi-kisi ujian SD 2020. Berikut ini adalah contoh. Kumpulan soal soal sd.
KISI-KISI PAS KELAS 4 SD SEMESTER 1 K13 REVISI 2019. Kisi kisi K13 Tematik ini bisa anda gunakan sebagai referensi dan gambaran untuk mengukur dan. Dan Sahabatnya 312 Rasul Allah Idolaku 33 Menyakini Allah itu Maha Esa dan Maha Pemberi3 semester 1 34 Hidup Tenang dengan Berperilaku Terpuji 3 Semester 1 34 Mengenal Nama Allah dan Kitabnya5 Semster 1 35.
Kisi-Kisi K13 PAS Bhs Indonesia Kelas 9 SMP Tahun 2020-2021. SOAL UAS GANJIL IPA SMP KELAS IX 20152016 Soal Ulangan Tengah Semester UTS IPA SMP Kelas 9 Semester Genap Kisi-Kisi Soal Dan Jawaban IPA SMP Kelas 9 PAS Semester Ganjil. Sebentar lagi kalian semua akan menghadapi Ulangan Penilaian Akhir Semester UASPAS Semester Ganjil Tahun Pelajaran 20202021.
Download Juga Kumpulan Soal-Soal UAS K13 Revisi 2018 Kisi-kisi soal Kelas 4 Adapun kami membagikan administrasi berupa kisi-kisi soal K13 diaharapkan hasil pembelajaran yang diperoleh dari persiapan yang matang ditandai dengan perubahan perilaku secara keseluruhan meliputi semua aspek yang diperoleh dari hasil pengajaran. Selama satu bulan bersekolah di SD Kemuning sudah tiga kali ia.

Kisi Kisi Soal Pas Pjok Kelas 4 Kurikulum 2013 Revisi 2020 Semester 1 Fendi Keren

Kisi Kisi Uas Semester 1 Sd Kelas 4 Sd Paramentica

Kisi Kisi Soal Pas Uas Ipa Kelas 4 Semester 1 Tahun 2018 Informasi Pendidikan

Kisi Kisi Soal Pas Uas Kelas 4 K13 Revisi 2018 Bumbu Ilmu
Kisi Kisi Soal Pas Kelas 4 Semester 1 Kurikulum 2013 Tahun 2020 File Pembelajaran Kurikulum2013

Kisi Kisi Soal Uas Pas Kelas 4 Tema 3 K13 Revisi 2018 Guru Maju

Kisi Kisi Soal Uas Pas Kelas 4 Tema 1 K13 Revisi 2018 Guru Maju

Kisi Kisi Soal Pas Ipa Kelas 7 Semester 1 K13 Revisi Terbaru

Kisi Kisi Soal Pts Dan Pas Kelas 4 Semester 2 Tahun 2021 Info Pendidikan Terbaru
Kisi Kisi Soal Uas Ipa Kelas 4 Smtr 1
Kumpulan Kisi Kisi Dan Soal Ukk Semester 2 Kelas 4 Sekolahdasar Net

Kisi Kisi Soal Pas Kelas 4 Semester 1 Kurikulum 2013 Revisi 2017 Informasi Pendidikan

Kisi Kisi Soal Pas Uas K13 Kelas 3 Tahun 2018 Info Pendidikan Terbaru

Kisi Kisi Soal Uas Pas Kelas 4 Tema 2 K13 Revisi 2018 Guru Maju

Kisi Kisi Soal Uas Pas Kelas 4 Tema 4 K13 Revisi 2018 Guru Maju

Kisi Kisi Soal Uas Pas Kelas 6 Tema 1 K13 Revisi 2018 Guru Maju

Kisi Kisi Soal Uas Pas Kelas 4 Tema 8 Semester 2 K13 Guru Maju

Kisi Kisi Pas Kelas 4 Kurikulum 2013 Tahun 2020 2021 Websiteedukasi Com

Kisi Kisi Soal Pas Uas Ipa Kelas 7 8 9 Ktsp Tahun 2018 2019 Websiteedukasi Com
Posting Komentar untuk "Kisi-kisi Soal Pas Ipa Kelas 4 Sd K13"